Exchange the CEC enclosure I2C interface card assembly
Before you begin
Use approved ESD procedures to prevent damage.
Attention:
- This procedure is not a stand-alone procedure. Customer disruption and damage to the hardware might occur when microcode and power boundaries are not in the proper conditions for this service action.
- If a serviceable event FRU repair directed you to this procedure, the microcode and power boundaries are already set.
- If a serviceable event FRU repair did not direct you to this procedure, see MAP1230 Replace a FRU without using a serviceable event.
Notes:
- All the cables and FRUs to be removed must be uniquely identified so they can be reinstalled correctly.
- If an installed earthquake resistance kit prevents you from accessing this FRU, refer to MAP1600.
Preparing the CEC enclosure to remove and replace the I2C interface card assembly
About this task
Procedure
- Use a replacement part with a valid DS8000® part number to ensure it has the proper firmware, VPD, and/or configuration to ensure it is compatible with the DS8000 service procedures. Attempting to use a generic server FRU might fail and require next level of support to recover.
- All parts being removed must be marked or
identified so they can be installed into their original locations.
Note: Failure to do this can extend the service duration and may require next level of support assistance.
- The management console keyboard can be moved between the operating and stowed position as needed to allow service clearance above the CEC enclosure.
- Use the front and rear blue identify
LEDs to determine the CEC enclosure to be repaired. Both blue LEDs
should be lit.
- CEC control panel blue identify LED
as shown in Figure 1. - CEC enclosure rear blue identify LED
as shown in Figure 2.
Note: If both the front and rear CEC enclosure identify LEDs are not lit, use the location code listed in the serviceable event FRU list. See MAP1245 Finding FRUs by using location codes.Figure 1. Control panel LEDs 
Figure 2. CEC enclosure rear LEDs 
- CEC control panel blue identify LED
- Verify that the CEC enclosure is in the
power-off state. See Figure 3
- At the rear of the CEC enclosure, view all CEC enclosure power supply DC LEDs.
- Are all DC (output) LEDs flashing?
- Yes, continue with the next step.
- No, do not continue with this FRU replacement. Go to MAP4841 CEC enclosure fails to power off during service processor repair (Models 961, 98x).
Figure 3. Location of the power supplies and LEDs (Models 980, 983, 984) 
- Use the flashing slot identify LED to confirm the location of the adapter to be replaced.
- Attach the electrostatic discharge (ESD)
wrist strap. Attention:
- Attach an electrostatic discharge (ESD) wrist strap to an unpainted metal surface of your hardware to prevent the electrostatic discharge from damaging your hardware.
- When using an ESD wrist strap, follow all electrical safety procedures. An ESD wrist strap is used for static control. It does not increase or decrease your risk of receiving electric shock when using or working on electrical equipment.
- If you do not have an ESD wrist strap, just prior to removing the product from ESD packaging and installing or replacing hardware, touch an unpainted metal surface of the system for a minimum of 5 seconds.
- Disconnect the power cords
from the CEC with the DC (output)
LEDs flashing. See Figure 4.
Notes:- Ensure the power cords are correctly labeled.
- The power supply LEDs might continue to flash for up to 20 seconds while internal power is discharged.
- The power cord is fastened to the system using the hook-and-loop
fastener
. Unstrap the fastener to allow the
enclosure to be placed in the service position.
Figure 4. Removing the power cords (Models 980, 983, 984) 
- Observe the CEC enclosure control
panel green power button LED
. See Figure 5. - If it is off, go to the next step.
- If it is flashing, the CEC enclosure is still in the power-off state. DO NOT CONTINUE. Ensure that you have unplugged the power cables.
Figure 5. Control panel LEDs 
- Disconnect all remaining cables from the
rear of the CEC enclosure. See Table 1 and Figure 6.
Table 1. CEC enclosure cable connections Connection Description P1-T1 (HMC 1) FSP Ethernet P1-T2 (HMC 2) FSP Ethernet P1-C6-T1, P1-C6-T2 PCIe to I/O enclosures (Model 980, 984) P1-C7-T1, P1-C7-T2 PCIe to I/O enclosures (Model 980, 984) P1-C7-T1, P1-C7-T2, P1-C7-T3, P1-C7-T4 PCIe to I/O enclosures (2U) (Model 983) P1-C8-T1, P1-C8-T2 i2c to RPCs P1-C10-T1, P1-C10-T2 LPAR Ethernet P1-C10-T3, P1-C10-T4 Customer network (optional feature, if used) P1-C11-T1, P1-C11-T2
P1-C11-T3, P1-C11-T4Customer network (optional feature, if used) P1-C12-T1, P1-C12-T2 RS485 to RPCs Figure 6. CEC enclosure location codes (rear view) (Models 980 and 984) 
- Remove the front cover.
- Ensure that you have the electrostatic discharge (ESD) wrist strap attached. If not, attach it now.
- Remove the two shipping screws
(if present) that secure the system
to the rack. - Pull the cover away from the system. The cover has an indentation where you can hold onto it more easily.
Figure 7. Removing the front cover 
- Place the CEC enclosure into the service
position.
- Remove the front screws
(if present) that secure the enclosure
to the rack. Figure 8. Removing the front screws 
- Release the side latches
and pull the latches to slide out
the enclosure assembly. Figure 9. Releasing the side latches 
- Remove the front screws
- Remove the service access cover.
- Ensure that you have the electrostatic discharge (ESD) wrist strap attached. If not, attach it now.
- Release the latch by pushing the release latch
in the direction shown. - Slide the cover
off the system unit. When the front
of the service access cover has cleared the upper frame ledge, lift
the cover up and off the system unit. Attention: For proper cooling and airflow, replace the cover before turning on the system.
Figure 10. Removing the service access cover 
- Attach the electrostatic discharge (ESD)
wrist strap. Your system has an ESD pin on the backplane as shown
in Figure 11. Attach the ESD wrist
strap to the ESD pin. Attention:
- Attach an electrostatic discharge (ESD) wrist strap to an unpainted metal surface of your hardware to prevent the electrostatic discharge from damaging your hardware.
- When using an ESD wrist strap, follow all electrical safety procedures. An ESD wrist strap is used for static control. It does not increase or decrease your risk of receiving electric shock when using or working on electrical equipment.
- If you do not have an ESD wrist strap, just prior to removing the product from ESD packaging and installing or replacing hardware, touch an unpainted metal surface of the system for a minimum of 5 seconds.
Figure 11. Location of the ESD pin 
- Remove the control panel. Press
the terracotta tab and then slide the control panel straight out of
the slot.
Figure 12. Removing the control panel 
- Remove the Slimline media device (DVD),
if present.
- Press the retaining tab
toward the system until the Slimline
media device is unseated from the media bay. See Figure 13. - Pull the Slimline media device
away from the system, in the direction
shown.
Figure 13. Removing the Slimline media device 
- Press the retaining tab
- Unplug but do not remove the disk drives
from their slots. Pull the drives out far enough to prevent them from
interfering with the removal of the disk drive backplane.
- Unlock the drive handle
by pressing the handle latch
and pulling it out toward you, as
shown in Figure 14. If the handle is
not all the way out, the drive cannot slide out of the system.
- Support the bottom of the drive as you slide it out of the system. Hold the drive by its sides.
Figure 14. Removing a disk drive 
- Unlock the drive handle
Removing the CEC enclosure I2C interface card assembly
About this task
To remove the CEC enclosure I2C interface card assembly, complete the following steps:
Procedure
- Ensure that you have the electrostatic discharge (ESD) wrist strap attached. If not, attach it now.
- Remove the fan cage.
- Release the blue touch point latches
by pulling them up, as shown in Figure 15. This
action unseats the fan cage. - Pull up the fan cage out of the system by holding on
to the blue touch point latches
.
Figure 15. Removing the fan cage 
- Release the blue touch point latches
- Label the front SAS cables, paying attention
to the connectors each cable attaches to on the disk drive backplane
and the SAS RAID internal adapter. Disconnect the front SAS cables
from the disk drive backplane by pressing the latch
and unplugging the cable as shown
in Figure 16.
Figure 16. Disconnecting the front SAS cables 
- Unseat the front SAS cables from the cable guide on the
side of the system chassis. See Figure 17.
Figure 17. Unseating the SAS cables 
- Label, disconnect, and remove the signal,
and control panel cables
, and the power Y cable
, from the disk drive backplane and
system backplane. See Figure 18.
Figure 18. Removing the power, signal, and control panel cables 
- Carefully unscrew the disk drive backplane's captive thumbscrews
until fully loose as shown in step 8. - Tilt the disk drive backplane in the direction that is shown and then slide it to the side so that the disk drive backplane cutouts clear the tabs in the chassis.
- Remove the disk drive backplane.
Figure 19. Removing the disk drive backplane 
- Pull the I2C cable
out from the cable channel on the
side of the system. See Figure 20.
Figure 20. Pulling the I2C cable out from the cable channel 
- Disconnect the I2C cable from the I2C connector at the right front area of the CEC enclosure. Pull the cable toward the I2C interface card at the rear center of the enclosure.
- To set the adapter latch
at the target slot into the open position,
rotate the latch
on the rear of the system, in the
direction shown in Figure 21.
- Carefully grasp the adapter
by its top edge or tailstock, and
remove the adapter from the slot, as shown in Figure 21. Attention: A pin on the tailstock of the adapter resembles a removable screw. Do not remove this pin. It is required for correct alignment and seating.Figure 21. Removing a PCIe adapter from a rack-mounted system 
- Place the removed adapter and cable assembly on an approved ESD surface.
Replacing the CEC enclosure I2C interface card assembly
About this task
To replace the CEC enclosure I2C interface card assembly, complete the following steps:
Procedure
- Ensure that you have the electrostatic discharge (ESD) wrist strap attached. If not, attach it now.
- If necessary, remove the adapter from the antistatic package.
Attention: Avoid touching the components and gold connectors on the adapter.
- Place the adapter, component-side up, on a flat, antistatic
surface. Attention: A pin on the tailstock of the adapter resembles a removable screw. Do not remove this pin. It is required for correct alignment and seating.
- Route the I2C cable to the right front area of the CEC
enclosure, using the same method as the cable you removed. Connect
the cable to the CEC enclosure I2C connector. Note: It might be necessary to disconnect the I2C cable from the interface card to route the cable. Reconnect to the interface card once you are ready to install the card.
- If the adapter latch
at the target slot is not already
in the open position, pull the latch into the open position by rotating
the latch outwards from its clip on the back of the system, as shown
in Figure 22. - Carefully grasp the adapter by its top edge or tailstock, and align the adapter with the slot and its connector on the system backplane, as shown in Figure 22.
- On the system, press the adapter firmly into its connector.
- To lock the adapter in its slot, rotate the adapter latch
in the direction that is shown in Figure 22. Note: The adapter does not connect to the PCIe bus slot. The adapter latch secures it in the slot location.Figure 22. Installing or replacing a PCIe adapter in a rack-mounted system 
- Push the front I2C cable
into the cable channel as shown in Figure 23. Figure 23. Installing the front I2C cable in the cable channel 
- Complete the disk drive backplane installation.
- Using the ledge at the top of the disk drive backplane and facing towards the front of the system, replace the backplane by tilting it towards the rear and lowering it down into the chassis.
- Align the backplane cutouts with the tabs in the chassis to insert it into the system.
- Shift the backplane slightly to the left to secure it in place, as is shown in Figure 24.
- Carefully tighten each of the disk drive backplane's
captive thumbscrews
until each one is secured to the system's
chassis.
Figure 24. Replacing the disk drive backplane 
- Reconnect the signal and control panel cables
, and the power Y cable
to the disk drive backplane and the
system backplane as shown in Figure 25.
Figure 25. Reconnecting the power, signal, and control panel cables 
- Reseat the front SAS cables into the guide block on the
side of the chassis as shown in Figure 26.
Figure 26. Reseating the front SAS cables 
- Reconnect the front SAS cables to
the disk drive backplane as is shown in Figure 61. Push the connector in
until the connector latch clicks.
Figure 27. Reconnecting the front SAS cables
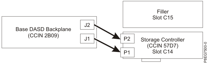
Note: With one PCIe3 x8 SAS RAID internal adapter (CCIN 57D7) in slot P1-C14 (base-storage feature), one SAS cable connects the lower disk drive backplane connector (J1) to the P1 connector on the adapter. A SAS cable connects the upper disk drive backplane connector (J2) to the P2 connector on the same adapter. See Figure 62.Figure 28. Reconnecting the SAS cable in a base-storage configuration 
- Replace the fan cage with the fans installed.
- Ensure that there are no cables obstructing the fan
cage installation area. Important: Failure to ensure that the cables are tucked out of the way can damage the cables.
- Lower the fan cage into the system by holding on to
the blue touch point latches
, as shown in Figure 63. - Push down on the fan cage to seat in the system.
- Rotate the latches
as shown in Figure 63, to lock the fan cage in
place.
Figure 29. Replacing the fan cage in a rack-mounted system 
- Ensure that there are no cables obstructing the fan
cage installation area.
Preparing the CEC enclosure for operation after removing and replacing the I2C interface card assembly
About this task
To prepare the system for operation, complete the following steps:
Procedure
- Ensure that you have the electrostatic discharge (ESD) wrist strap attached. If not, attach it now.
- Replace the service access cover.
- Slide the cover
on to the system unit. - Close the latch release
by pushing it in the direction shown.
Figure 30. Installing the service access cover 
- Slide the cover
- Ensure that you have the electrostatic discharge (ESD) wrist strap attached. If not, attach it now.
- Reseat the disk drives into their slots.
- Unlock the drive bay handle
by pressing it and pulling it out
toward you. If the handle is not all the way out, the drive does not
slide into the system. See Figure 65.
- Hold the drive by the top and bottom edges as you position the drive, and insert it into the drive slot.
- Slide the drive all the way into the system, and push
the drive bay handle
in until it locks, as shown in Figure 65. Important: Ensure that the drive is fully seated and is all the way into the system.
Figure 31. Replacing a disk drive 
- Unlock the drive bay handle
- Replace the Slimline media device (DVD)
(if one was removed).
- Align the Slimline media device
with the media bay, and support the
bottom of the device as you slide it halfway into the system. See Figure 66. - Push the Slimline media device fully into the system until the device locks in place.
Figure 32. Replacing a Slimline media device 
- Align the Slimline media device
- Replace the control panel.
- Align the control panel with the control panel slot.
- Slide the control panel into the slot, and press on the terracotta tab to lock it in place.
Figure 33. Replacing the control panel 
- Place the CEC enclosure into the operating
position.
- Ensure that you have the electrostatic discharge (ESD) wrist strap attached. If not, attach it now.
- Unlock the blue rail safety latches
by lifting them upward. - Push the system unit
back into the rack until both system
unit release latches lock into position. - Secure the enclosure to the rack with screws, if screws were removed when preparing the enclosure for service.
Figure 34. Placing the CEC enclosure into the operating position 
- Replace the front cover.
- Slide the cover onto the system.
- Close the release latches by pushing in the direction shown in Figure 69. The cover snaps into place and has an indentation where you can hold onto it more easily.
- Replace the shipping screws
.
Figure 35. Installing the front cover 
- Attach the electrostatic discharge (ESD) wrist strap.
- Reconnect all cables, except for power cords. See Table 2 and Figure 36.
If optical Ethernet connections are used, use proper cleaning procedures.Important: The optical cable plugs (LC connectors) and ports (SFPs) must be cleaned before connecting them. Use cleaning tool 54Y4392 or IBM-approved alternative. After cleaning SFPs with the tool, use air bulb 45D2645 or IBM-approved alternative. For detailed procedures, refer to current DS8000 Info Alerts or contact your next level of support.
Table 2. CEC enclosure cable connections Connection Description P1-T1 (HMC 1) FSP Ethernet P1-T2 (HMC 2) FSP Ethernet P1-C6-T1, P1-C6-T2 PCIe to I/O enclosures (Model 980, 984) P1-C7-T1, P1-C7-T2 PCIe to I/O enclosures (Model 980, 984) P1-C7-T1, P1-C7-T2, P1-C7-T3, P1-C7-T4 PCIe to I/O enclosures (2U) (Model 983) P1-C8-T1, P1-C8-T2 i2c to RPCs P1-C10-T1, P1-C10-T2 LPAR Ethernet P1-C10-T3, P1-C10-T4 Customer network (optional feature, if used) P1-C11-T1, P1-C11-T2
P1-C11-T3, P1-C11-T4Customer network (optional feature, if used) P1-C12-T1, P1-C12-T2 RS485 to RPCs Figure 36. CEC enclosure location codes (rear view) (Models 980 and 984) 
- Reconnect the power cords
to the CEC enclosure. See Figure 37. - Fasten the power cords to the enclosure using the hook-and-loop
fasteners
. Figure 37. Connecting the power cords 
- Verify that the CEC enclosure has
power available. See Figure 73.
- At the rear of the CEC enclosure, view the CEC enclosure power supply DC LEDs.
- Are all DC (output) LEDs flashing?
- Yes, continue with the next step.
- No, ensure the power cords are properly connected. If no connection problem is found, contact your next level of support.
Figure 38. Location of the power supplies and LEDs (Models 980, 983, 984) 
- Wait up to 5 minutes for the CEC enclosure
control panel power button LED
to flash. See Figure 74. Note: This ensures the CEC enclosure is in the power-off state.Is the power button LED flashing?
- Yes, go to the next step.
- No, ensure the CEC enclosure power supplies are fully seated. The possible failing FRUs are the CEC enclosure system backplane, I2C interface card and cables, and control panel. You can also call the next level of support.
Figure 39. Control panel LEDs 
- Close the rear door of the rack.
- Exit this service information center parts exchange procedure and return to the procedure that sent you here.